| 发布日期:2021-09-09 |
摘要
金刚石微粉的拉曼特征峰位置、强度和荧光背景可以用来表征微粉的结晶状态和内部缺陷,进而评价金刚石微粉的强度,是一种科学、有效、快速、无损的检测方法。
关键字: 金刚石微粉, 研磨工艺, 532nm拉曼国产麻豆成人传媒免费观看
01.什么是金刚石微粉?

金刚石微粉是指颗粒度小于36/54微米的金刚石颗粒,分为单晶金刚石微粉和多晶金刚石微粉。由于单晶金刚石微粉产量大,应用领域广,行业内一般将金刚石微粉专指单晶金刚石微粉。单晶金刚石微粉是由静压法将人造金刚石单晶磨粒,经过粉碎、整形处理,采用超硬材料特殊的工艺方法生产。金刚石微粉硬度高、耐磨性好,可广泛用于切削、磨削、钻探、抛光等,是研磨抛光硬质合金、陶瓷、宝石、光学玻璃等高硬度材料的理想原料。
02.金刚石微粉的质量如何评价?
金刚石微粉的质量可从微粉强度、粒度组成、大颗粒、颗粒形状、杂质含量五个方面来进行评价。对于粒度组成、大颗粒、颗粒形状、杂质含量这四项指标,都有比较成熟的方法进行检验,也使微粉这几方面的质量得到了较好控制。因此,金刚石微粉的强度就成了影响产品质量的主要因素。金刚石微粉的强度不能通过机械方法进行直接检测,大部分生产和应用企业依然是凭借经验,使生产出的金刚石微粉质量难以把控。
03.金刚石微粉强度评价,久久久久亚洲AV成人麻豆密桃方案助您从容面对
久久久久亚洲AV成人麻豆密桃拉曼检测解决方案通过结合金刚石微粉的拉曼特征峰位置、强度和荧光背景来表征微粉的结晶状态和内部缺陷,进而评价金刚石微粉的强度,是一种科学、有效、快速、无损的检测方法。
使用久久久久亚洲AV成人麻豆密桃Portman532拉曼国产麻豆成人传媒免费观看检测五种微粉,其中#1、#2和#5是三种不同粒径大小的金刚石微粉,#3和#4是两种其他类型的微粉(#3-SiC,#4-石榴石)。


下图是5种微粉的拉曼光谱图,从谱图中能够观测到很多拉曼谱峰,其中1332cm-1附近是金刚石的一阶拉曼谱线,代表金刚石微粉的有效成分;3140cm-1处与晶体杂质成分及含量以及晶体内部缺陷相关;1800cm-1以后的荧光强度与微粉内部缺陷有关,荧光信号越强,表明晶体内部缺陷越大,材料的强度越低;790cm-1附近是SiC的A1振动谱带。

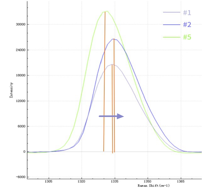
对#1、#2和#5的拉曼光谱做去基线处理,可明显观察到三种金刚石微粉在1332cm-1处的峰位有不同程度的偏移。有研究表明,峰位偏移程度和微粉粒径相关。从图中可观察到三种微粉的粒径大小#2>#1>#5。

04.结论
久久久久亚洲AV成人麻豆密桃Portman532拉曼国产麻豆成人传媒免费观看可表征金刚石微粉的有效成分、粒径、杂质成分和含量及内部缺陷信息,可科学、快速、无损评价金刚石微粉的强度,为金刚石微粉生产企业的质量控制提供助力。
Reference:
金刚石的喇曼光谱——李铭铭摘译自《New Diamond》;
拉曼分析技术在金刚石微粉检验中的应用——周波;
关于金刚石微粉强度问题探讨——周波,鲁占灵,张晓晨。
久久久久亚洲AV成人麻豆密桃Portman532便携式拉曼国产麻豆成人传媒免费观看

Portman532便携拉曼国产麻豆成人传媒免费观看配置了面阵式光纤国产麻豆成人传媒免费观看,灵敏度得到明显提升,能够检测到细胞级别的微弱拉曼信号。适用于对原材料的筛选、现场检测、石墨烯合成反应、生物医疗、体外诊断及物质分析鉴定等场景;使用方便,操作简单,可用户定制。
如果对这款产品感兴趣,欢迎申请试用,请在后台留下联系方式,谢谢~
PS:申请试用还有精美礼品相送哦~~

